Clément Sire appointed Scientific Outreach Ambassador of the CNRS Institute of Physics for 2026

The Institute of Physics of CNRS has appointed Clément Sire as its Scientific Outreach Ambassador for the year 2026. In this role, he will take part in events coordinated by […]
Exact result for the free energy of a Bose gas

How does the low-temperature free energy of one-dimensional interacting quantum liquids behaves beyond the standard temperature-squared correction, a well-known result from conformal field theory? A recent study of Zoran Ristivojevic […]
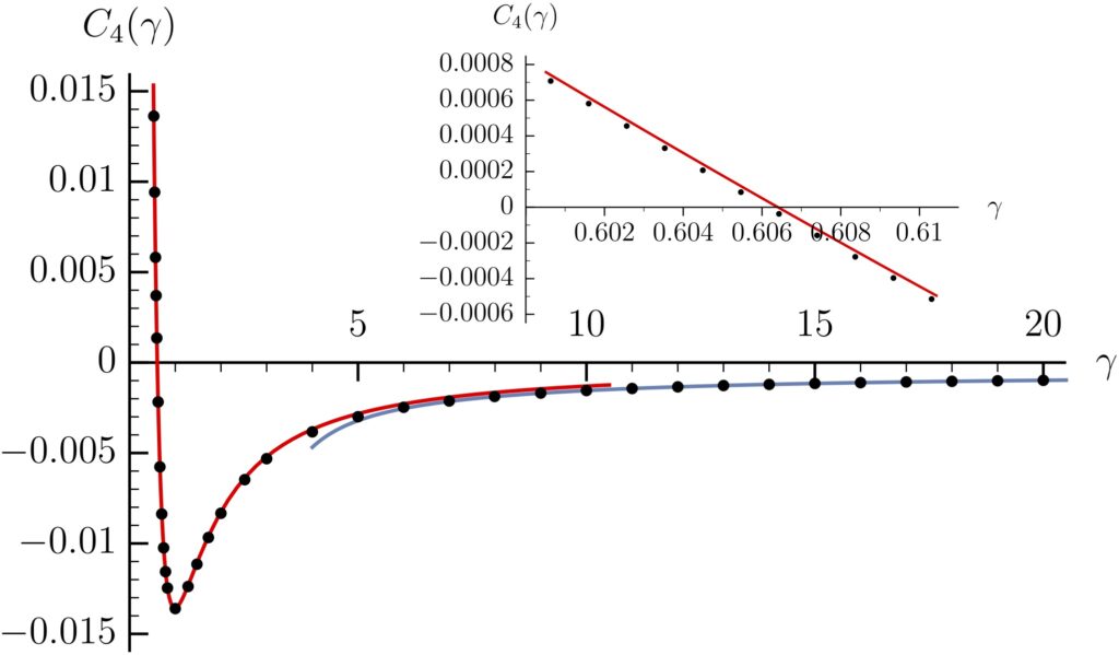
Finite-temperature quantum loop model

The quantum loop and dimer models are archetypal correlated systems with local constraints. With natural foundations in statistical mechanics, they are of direct relevance to various important physical concepts and […]
How stress can boost the sensitivity and adaptability of fish schools

How do groups of animals adjust their collective behavior when faced with sudden changes in their environment? A recent study by researchers from the team of Guy Theraulaz at the […]
Is the 1D Anderson insulator stable against weak interaction?

The question of the stability of Anderson localisation (AL) against weak interactions has been raised since the early days of the field. However, despite the enormous efforts devoted to the […]
Thesis prize

Denis Rochette has been awarded the Toulouse Academy of Sciences, Inscriptions and Belles Lettres prize for his thesis “Asymmetric cloning in quantum information theory”, co-supervised by Ion Nechita (LPT) and […]
How quantum properties control electrolyte transport in carbon nanotubes ?

In an letter published in J. Phys. Chem. Lett., T. Hennequin and M. Manghi of the LPT have theoretically studied, in collaboration with researchers of the Charles Coulomb Laboratory of […]
Quantum electrodynamics in triangular magnets

Quantum electrodynamics (QED) is the fundamental theory that describes the interactions between electrons and photons. Its success has led some to wonder if quantum field theories, like QED, can describe […]